Провод СИП (самонесущий изолированный провод) считается отличным проводником. Его основная задача – распределение электроэнергии всего переменного тока в силовых сетях и сетях освещения, где напряжение составляет от 0.4 до 1 кВ.

Провод СИП особенности
Широкое применения провод СИП получил во время строительства магистральных линий электропередач, и разнообразных ответвлений к вводам практически во всех хозяйственные постройки и частные дома.
Собой кабель провод СИП предоставляет жгут скрученный из изолированных жил разной фазности, которые сделаны из алюминия и имеют насущную нулевую фазу. Все фазные жили, оснащены специальной изоляцией, выполнена она из полиэтилена с повышенным давлением, окрашивается в черный цвет, именно она и обладает устойчивостью к различным ультрафиолетовым излучениям. В самом центре жилы нулевой находится специальный сердечник, он скручивается вокруг ветвями из алюминия. Похожий кабель ПВС.
Кабель СИП характеристики и марки
В зависимости от конструкции провод СИП можно разделить на следующие виды. Хочется отметить, что все они отличаются не только по конструкции, но и по материалам, их которых они изготовляются.
Провод СИП -1и 1A
Состоят они из токопроводящих фазных жил, изготовлены они из алюминия. Покрываются термопластичной изоляцией, она устойчива практически ко всем внешним воздействиям, и совсем не боится ультрафиолета. В себя конструкции включает нулевую жилу, она имеет несущий характер. Жила может быть как голой, так и попросту заизолированной. Буква «А» и означает, есть изоляция или ее нет.

Провод СИП 2, 2-А
Данный вид проводов имеет похожую конструкцию, здесь главное различие только в изоляции, она состоит из сшитого полиэтилена. Такие кабеля применяются для монтажа линий электропередач, которые имеют напряжение до 1000 вольт. Провода славятся своей долговечностью, и способны выдерживать серьезные нагрузки от многих внешних факторов.
Еще одно различие от первого варианта заключается в том, что кабель СИП 1 может выдерживать температуру 70 градусов, а вот этот с легкостью выдерживает и 90 градусов. В процессе монтаж кабеля СИП необходимо обращать внимание, чтобы был допустимый изгиб. Он не должен быть меньше десяти наружных диаметров провода. Читайте о том, как соединить провод СИП. 

Провод СИП 3
Он состоит из одной жилы. Она включает в себя стальной сердечник, он обивается проволокой из алюминия. Если говорить за изоляцию, то здесь сшитый полиэтилен. Он обладает отличными защитными свойствами и способен выдерживать любое попадание ультрафиолетового света.
Как правило, применяют его в строительстве больших линий электропередач, крепление для сип кабеля устанавливается непосредственно на столбах. Кабель может выдержать температуру от – 20 до 90 градусов.

Провод СИП 4 и СИП-4н
Состоят они всегда из парных жил, главная особенность – нулевая жила отсутствует. Буквенное обозначение в этом случае означает, что кабель изготовлен из алюминиевого сплава, если этой буквы нет, значит здесь цельный алюминий. Изоляция изготовлена из термопластичного ПВХ, она выдерживает ультрафиолет и устойчива к другим внешним факторам.

Провод СИП 5 и 5-н
Он имеет схожую характеристику, с кабелем СИП 4. Единственное отличие по изоляции, здесь она сшивается из полиэтилена. Такая изоляция дает возможность выдерживать температуру на 30% больше. Если говорить за монтаж кабеля СИП, то в этом плане никаких существенных различий нет.

Технические характеристика провода СИП схема




Провод СИП преимущества и недоставки
Такие провода ярко выделяются тем, что у них отличная изоляция, это гораздо лучше чем «Голые» провода, ведь можно устанавливать их в более частых случаях.
В последнее время их начали использовать все чаще, ведь прокладка и монтаж кабелей СИП проще и выгодней о всех планах
Изоляция, которая есть между жилами всех проводов, способна обеспечить защиту от короткого замыкания в процессе прокладки на станах различных сооружений, или же когда он идет между деревьями. Известны случаи, когда «голые» провода приводили к пожару.
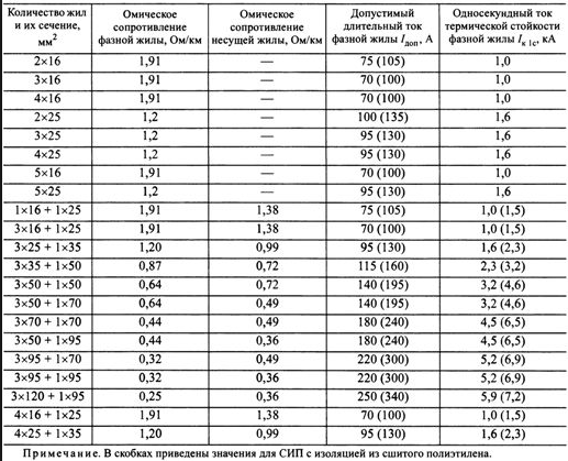
Только посмотрите на сечение кабеля сип, и вы сразу много поймете.

Плюс ко всему это дает возможность завлекать людей для установки такого кабеля любой квалификации. Это в конечном результате даст возможность существенно сэкономить.
Также читайте: Как определить сечение провода СИП, когда нет бирок обозначений.