Силовой кабель КГ получил популярность среди электриков, которые подключают мощные электроприборы, к примеру: сварочный аппарат или электрический двигатель. В этой статье мы решили более подробно остановиться на нем, и расскажем технические характеристики, особенности, область применения и многое другое.

Расшифровка провода
Проще аббревиатуры, чем у кабеля КГ сейчас встретить сложно – кабель гибкий. Если вы встретите дополнительную приставку «н», тогда знайте, провод получил дополнительную прослойку защиты и является негорючим.
Также существует проводник для тропического использования, он получил дополнительную приставку «Т». Такой провод нельзя использовать при -10, он просто выйдет из строя. На территории нашей страны такой модификации вы не встретите. Есть провод холодный с приставкой «ХЛ» его можно эксплуатировать даже при минус 60.

Маркировка проводов и кабелей таблица этого провода совсем несложная, поэтому пойдем дальше. В сети мы нашли еще вот такое видео, посмотрев его, вы сможете понять, что собой представляет данный проводник.
Кабель КГ: технические характеристики, обзор
Мы решили выделить самые важные характеристики, более подробные вы узнаете в таблице ниже.
- Рабочая температура -40 и +50. Если мы не говорим за его модификации.
- Максимально допустимый нагрев медных жил 75 градусов.
- Гарантия на провод 6 месяцев.
- Средний срок службы – 4 года.
- Частота 400 Гц.
- Напряжение: постоянное – 1000 Вольт, переменное – 660 Вольт.
- Минимальный радиус изгиба провода составляет 8 наружных диаметров.
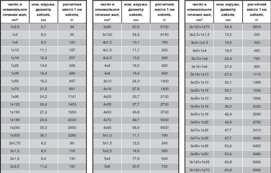
В следующей таблице вы найдете: сечение кабеля КГ, расчетную массу, наружный диаметр. Вся информация представлена в удобной таблице для восприятия. 



Конструкция кабеля
Силовой кабель КГ получил довольно простую конструкцию, здесь нет сложных элементов, все предельно просто и понятно. Вот так все выглядит на схеме:
- Жила выполнена из меди, она гибкая.
- Жил может быть от одной до пяти. Если говорить за сечение, то от 1 до 240мм2.
- Внешняя оболочка выполнена из изоляции РШТ-2 или РШТМ-2.


Область применения
Даже не смотря на маленький срок службы, данный кабель получил серьезную популярность. Ведь с помощью него можно подключать передвижные механизмы. Использовать его можно практически в любых условиях. Он не боится морозов и жары, поэтому можно его прокладывать в открытых и закрытых помещениях.
Помните! Подключать стационарные установки нельзя используя такой кабель, такая же история, если вы собрались проложить кабель под землей. Ведь изоляция не может выдержать механические нагрузки. Да и не забываем про его срок службы.
С помощью него можно провести временную линию на открытом воздухе, конечно, если соблюдать все меры безопасности.
Также хотим обратить ваше внимание на том, что сейчас существуют аналоги данного кабеля. Они обозначаются маркировкой:
- КПГ.
- КПГС.
- КРПТ.
Такие проводники практически ничем не отличаются от привычного кабеля КГ, так что, их можете использовать смело. Но, не забывайте просматривать технические характеристики.