На данный момент могут существовать различные типы трансформаторного оборудования. Подобное оборудование может применяться в электронных и электротехнических схемах. Особенно часто это оборудование используется в хозяйственной деятельности. Наиболее популярным устройством трансформаторного типа считается импульсный трансформатор.


Это оборудование считается достаточно важным элементом и используется практически во всех современных блоках электропитания.
Импульсный трансформатор и его конструкция
Импульсные трансформаторы разделяют в зависимости от катушек и формы сердечника на следующие виды:
- Стержневой.


- Броневой.


- Тороидальный.


Бронестержневой.


Вот пояснения к рисункам, которые вы могли увидеть выше:
- A – это магнитопроводный контур, который выполняется из марок трансформаторной стали. Обычно эту продукцию изготовляют по технологии холодного или горячего металлопроката.
- B – это катушка из специального изолирующего материала.
- C – провода для создания индуктивной связи.
Электротехническая сталь содержит в себе мало добавок кремния. Именно он в результате своего использования может стать причиной значительной потери мощности. В импульсном трансформаторе сердечник может производиться из рулонной стали. Если вам будет интересно, тогда можете прочесть про проверку трансформаторного тока.
Все пластины, которые будут использоваться для набора электромагнитного сердечника подбираются в зависимости от толщины. С увеличением параметров вам необходимо устанавливать пластины меньшей величины.
Принцип работы
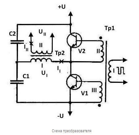
Основной особенностью импульсного трансформатора считается то, что на них будут подаваться однополярные импульсы, которые будут иметь постоянную токовую составляющую. Если вы желаете изучить принципиальную схему импульсного трансформатора, тогда сделать это можно ниже:


Как видите, схема практически нечем не отличается от обычного трансформатора. Единственным отличием считается временная диаграмма.


Если вы изучите схему, тогда можно будет понять, что на обмотку поступают специальные импульсные сигналы. Временный интервал между этими сигналами считается достаточно коротким. Перепады индукции будут проходить со скоростью, которую можно выразить через формулу τp=L0/Rн.
Коэффициент, который будет описывать разность между индуктивным перепадом можно определить следующим образом: ∆В=Вmax — Вr.
- Вmax – это уровень максимального значения всех индукций.
- Вr – это остаточные значения.
Если вы желаете детально изучить разность индукций, тогда выполнить этот процесс можно изучив фото ниже:


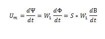
Как видите, на временной диаграмме вторичная катушка будет иметь напряжение U2. Именно так будет проявлять себя накопление энергии в магнитопроводе. Все импульсы тока будут проходить через катушку поскольку импульсы тока будут совмещаться. Уровень напряжения считается неизменным и его значение будет составлять еt=Um. Если вам необходимо вычислить напряжение во вторичной катушке, тогда рассчитать его можно по формуле:


В этом случае:
- Ψ – это параметр потокосцепления.
- S – это величина, которая будет отображать сечение.
Если вы планируете вычислить площадь импульса во вторичной обмотке, тогда вам необходимо обе части формулы умножить на значение tu. В результате этого вы сможете получить формулу: Um x tu=S x W1 x ∆В.
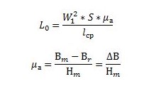
Второй величиной по значимости считается работа ИТ. На перепад индукции будут влиять следующие параметры: сечение, магнитная проницаемость и сердечник магнитопровода. При необходимости вы можете прочесть про подключение трансформатора.


В этой формуле вы сможете найти следующие значения:
- L0 – это перепад индукции.
- µа – магнитная проницаемость.
- W1 – это число витков в первичной обмотке.
- S – площадь сердечника.
- lcр – это длина сердечника.
- Вr– это величина остаточной индукции.
- Вmax – уровень максимального значения.
- Hm – напряженность магнитного поля.
Как видите, параметр индуктивности будет зависеть от импульсного трансформатора. При расчете, вам необходимо исходить из максимального значения µа.
Исходя из этого в качестве сердечника, вы также можете использовать ленту, которая изготовлена из трансформаторной стали. Если вы выберите высокочастотный импульсный трансформатор, тогда помните, что сердечник должен изготовляться из ферритовых сплавов. Если вам необходимо, тогда у нас вы можете найти информацию про измерительные трансформаторы.
Расчет импульсного трансформатора
Теперь мы решили предоставить вам инструкцию, как необходимо выполнять расчет импульсного трансформатора. КПД устройства будет напрямую связано с точностью вычислений.


Сначала вам необходимо вычислить уровень мощности устройства. Для этого можно использовать формулу Р=1,3 х Рн. Теперь вам необходимо выполнить расчет габаритной мощности. Чтобы выполнить подобный расчет, вам необходимо воспользоваться следующей формулой:


Вот основные параметры, которые могут потребоваться для вычисления:
- Sc – отображает площадь сечения тороидального трансформатора.
- S0 – это площадь окна сердечника.


- Вмакс – это максимальный пик индукции. Он зависит от марки ферромагнитного материала.
- F – параметр, который будет характеризовать частоту.
На следующем этапе, вам необходимо определить количество витков в первичной обмотке Тр2:


Если результат будет неполным, тогда его необходимо округлить в большую сторону. Если вам необходимо определить величину UI, тогда сделать это можно по формуле: UI=U/2-Uэ.Теперь можно перейти к вычислению максимального тока, который будет проходить через первичную обмотку импульсного трансформатора.


Параметр η в этой формуле будет равняться 0.8. Это специальное КПД, с которым должен работать преобразователь. Если необходимо рассчитать диаметр используемого провода для обмотки, тогда следует использовать формулу:


Последним этапом, который необходимо выполнить считается то, что вам следует рассчитать выходную обмотку импульсного трансформатора. Выполнить этот процесс можно по формуле:


Если у вас возникают определенные вопросы, тогда вы можете перейти на тематические сайты. Также в интернете существуют разнообразные программы, которые позволят проводить расчеты с импульсным трансформатором.